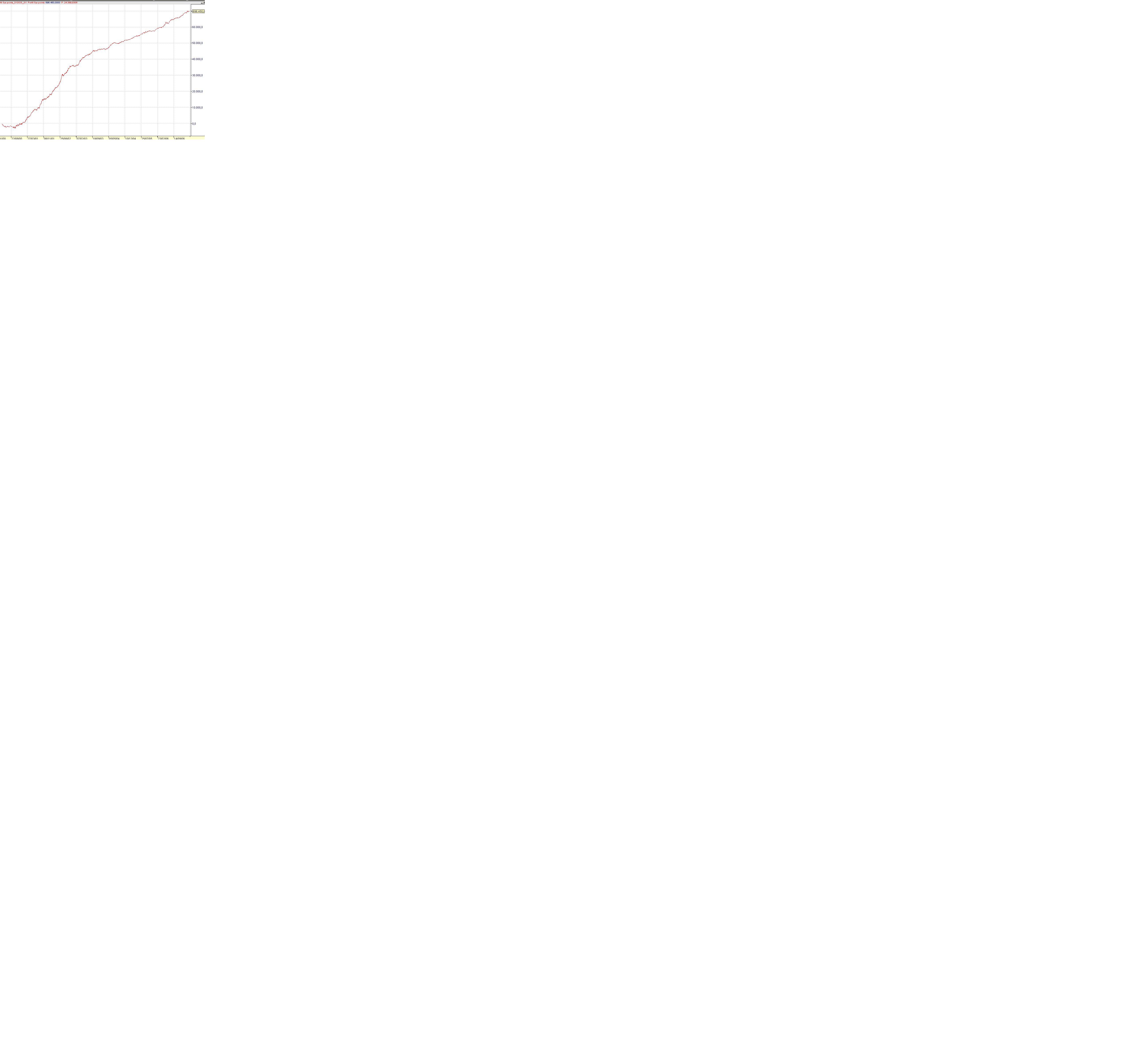
Estadística sistema FDax
El Drawdown dentro de una posición abierta es de unos 5000 euros y sucede tres veces, otras veces que sucede es una cantidad menor, las veces que sucede hay poca ganancia antes de que la posición esté en perdidas y posteriormente acabe en beneficios.
Un Drawdown alto no lo tengo muy en cuenta si sólo sucede una vez como pasa en mi sistema, para mí es más importante cuantas veces se produce un Drawdown bajo, porque si se repite mucho aplana la curva de beneficios.
Las comisiones y slipages puede que sean altas, en caso de poner menos comisiones afectan poco a la ganancia total del sistema.
El sistema lo he hecho funcionar en gráficos de 15 minutos y la ganancia es similar pero el número de operaciones es muy alto, prefiero utilizarlo en gráficos de 120 minutos.
Normalmente en situaciones de venta de pánico el sistema suele estar antes posicionado a la baja. Si es una tendencia alcista, probablemente lleve tiempo posicionado al alza y le repercuta poco una bajada de 5%, todas éstas situaciones han sucedido a lo largo de 10 años.
Me gustaría poder comparar mi sistema con otros sistemas que den una ganancia similar en un periodo de 10 años, si alguien quiere publicar las estadísticas de estos sistemas que venden y dicen ser tan buenos, me gustaría verlas lo mismo que yo las he mostrado. No basta con decir que un sistema tiene unas altas ganancias o que está patentado o que no se puede programar, son las estadísticas las que dicen como es el sistema y las probabilidades que hay de que siga funcionando bien.
Un Drawdown alto no lo tengo muy en cuenta si sólo sucede una vez como pasa en mi sistema, para mí es más importante cuantas veces se produce un Drawdown bajo, porque si se repite mucho aplana la curva de beneficios.
Las comisiones y slipages puede que sean altas, en caso de poner menos comisiones afectan poco a la ganancia total del sistema.
El sistema lo he hecho funcionar en gráficos de 15 minutos y la ganancia es similar pero el número de operaciones es muy alto, prefiero utilizarlo en gráficos de 120 minutos.
Normalmente en situaciones de venta de pánico el sistema suele estar antes posicionado a la baja. Si es una tendencia alcista, probablemente lleve tiempo posicionado al alza y le repercuta poco una bajada de 5%, todas éstas situaciones han sucedido a lo largo de 10 años.
Me gustaría poder comparar mi sistema con otros sistemas que den una ganancia similar en un periodo de 10 años, si alguien quiere publicar las estadísticas de estos sistemas que venden y dicen ser tan buenos, me gustaría verlas lo mismo que yo las he mostrado. No basta con decir que un sistema tiene unas altas ganancias o que está patentado o que no se puede programar, son las estadísticas las que dicen como es el sistema y las probabilidades que hay de que siga funcionando bien.
Última edición por Amdow el 19 Feb 2007 21:57, editado 1 vez en total.
Buenas tardes. Voy a poner yo mis estadísticas.
Es un sistema que me va bien en Futuro en un determinado minutaje y en otro me va mejor en el subyacente Ibex-35.
DrawDown y VC
Hola Amdow,
Coincido con el comentario de Cttsc, no obstante un sistema con un ProfitFactor de casi 5 como el tuyo es un buen sistema, pero eso sí, el DrawDown es excesivo (por lo menos para mi estresado body).
Lo que si me gustaría comentar para conocer vuestro punto de vista es el cálculo del DrawDown que hace VC y que para mí es mas falso que un duro sevillano, me explico, si no lo han cambiado lo calculan sobre "operaciones cerradas" y eso NO es DrawDown, ya que su cálculo correcto debe incluir operaciones abiertas. Es decir, para VC una operación de FDAX abierta a 7000 puntos el dia 1/1/XX, cerrada a 7010 el 5/1/XX y que llegó el 3/1/XX a 6900 tiene un DD de 0 y eso no es correcto.
Cuando porté mis sistemas de VC a TradeStation y luego a WL pudé comprobar que los DD en los que teoricamente me movía (10/12%) pasaban a ser realmente del (18/20%) es decir entre un 50 y un 75% mayores que los calculados por VC, y por supuesto, excesivos para mí.
saludos.
Coincido con el comentario de Cttsc, no obstante un sistema con un ProfitFactor de casi 5 como el tuyo es un buen sistema, pero eso sí, el DrawDown es excesivo (por lo menos para mi estresado body).
Lo que si me gustaría comentar para conocer vuestro punto de vista es el cálculo del DrawDown que hace VC y que para mí es mas falso que un duro sevillano, me explico, si no lo han cambiado lo calculan sobre "operaciones cerradas" y eso NO es DrawDown, ya que su cálculo correcto debe incluir operaciones abiertas. Es decir, para VC una operación de FDAX abierta a 7000 puntos el dia 1/1/XX, cerrada a 7010 el 5/1/XX y que llegó el 3/1/XX a 6900 tiene un DD de 0 y eso no es correcto.
Cuando porté mis sistemas de VC a TradeStation y luego a WL pudé comprobar que los DD en los que teoricamente me movía (10/12%) pasaban a ser realmente del (18/20%) es decir entre un 50 y un 75% mayores que los calculados por VC, y por supuesto, excesivos para mí.
saludos.
Felixm creo que para ser más correctos los datos estadísticos el slippage en el futuro del ibex tiene que ser como mínimo de 3 puntos, un sistema que hace tantas operaciones tiende a fallar con más facilidad con el paso del tiempo, también es conveniente probarlo en un histórico más largo.
Azoth el programa tiene varios fallos, y a mí el que más me preocupa son los fallos del direct acces, las estadísticas son una aproximación a las probabilidades que se puedan dar en el futuro.
Azoth el programa tiene varios fallos, y a mí el que más me preocupa son los fallos del direct acces, las estadísticas son una aproximación a las probabilidades que se puedan dar en el futuro.
Buenas tardes. Sobre futuro Dax y sistema
He conseguido hacer un sistema que estoy probando que da buenos resultados. Lo he probado en Visual con Direct Access y va bastante bien. Casi siempre lo que me ocurre con los sistemas que voy probando es que la curva de 2000 a 2003 es bastante imclinadad y a partir de 2004 suaviza bastante como le pasa a Watermelon creo. Con este sistema se mejora bastante la curva 2004 a 2007 y con buenas estadísticas.
El único problema que me genera a veces es que el sistema en automático realiza una compra o venta por stop en el momento, pero si cierro el Visual y lo vuelvo a abrir no me ha generado esa señal. Me lo hace pocas veces por eso hay que estar encima y entonces se convierte en "semiautomático".
El único problema que me genera a veces es que el sistema en automático realiza una compra o venta por stop en el momento, pero si cierro el Visual y lo vuelvo a abrir no me ha generado esa señal. Me lo hace pocas veces por eso hay que estar encima y entonces se convierte en "semiautomático".
Felix, supongo que al tener conectado el sistema del visual al direc acces se supone que esta "automatizado",pero tienes que estar toda la sesion en casa pendiente de si se corta el adsl,o se va la luz ¿lo haces asi o lo haces de otra forma?
Te lo digo porke yo no me fio de dejar encendido y conectado e irme a la calle,.
SALUDOS
Te lo digo porke yo no me fio de dejar encendido y conectado e irme a la calle,.
SALUDOS
Está automatizado. Lo pongo a la mañana (estoy probándolo todavía desde hace muy poco tiempo) y lo vigilo de vez en cuando. Cuando me marcho de casa puede ser para una hora o para cinco. Lo dejo puesto. Si se corta la luz o el adsl (me ha pasado sólo una vez) lo vuelvo a conectar si estoy en casa y si no cuando vuelvo. Puede que durante el tiempo que estoy fuera de casa de una señal y el ordenador se haya bloqueado o se haya ido la luz haya generado el sistema cambio de posición. Lo que hago es cambiarla manualmente y ese cambio no realizado me ha podido perjudicar o beneficiar. Me ha pasado de las dos maneras. Lo mismo que he comentado que hay veces que cambia de posición durante el día por stop (pocas veces también) y si lo vuelvo a cargar resulta que no la ha cambiado realmente. Esto último pasa sólo cuando salta la alarma por stop y se hace rápido, casi al instante. Si salta la alarma por stop y le cuesta varios minutos entrar ese stop, esto no ocurre. Pero al final es lo mismo. Unas veces me perjudica y otras me beneficia. Así que corro el riesgo y lo dejo automático.
Al final, se supone que aunque los beneficios sean menores de lo que indica la estadística seguirán siendo beneficios. Y las posibles pérdidas por errores me las debe de cubrir perfectamente el sistema.
Por lo demás el Direct Access no se ha cortado todavía ninguna vez. Es más me han fallado los dos brokers con los que trabajo más veces.
Ya iré viendo cómo va todo y si al final es realmente funcional y aplicable.
Saludos.
Al final, se supone que aunque los beneficios sean menores de lo que indica la estadística seguirán siendo beneficios. Y las posibles pérdidas por errores me las debe de cubrir perfectamente el sistema.
Por lo demás el Direct Access no se ha cortado todavía ninguna vez. Es más me han fallado los dos brokers con los que trabajo más veces.
Ya iré viendo cómo va todo y si al final es realmente funcional y aplicable.
Saludos.
- Robin-hood
- Mensajes: 140
- Registrado: 06 Nov 2004 14:13
- Ubicación: Mina de VW.AG
una pregunta que hasta hoy yo no habia caido en ella, ya estoy casi a punto de poner un sistema automatico con visual, el sistema es continuo ,osea no cierra nunca laposicion tonces que tengo que hacer
1º enciendo el ordenador,introduzco las claves y pongo en funcionamiento el sistema, y la primera operacion (supongamos) es una compra,y la siguiente lógicamente es una venta,pero para eso me tiene que vender 2 contratos ¿como se pone eso en el sistema?
1º enciendo el ordenador,introduzco las claves y pongo en funcionamiento el sistema, y la primera operacion (supongamos) es una compra,y la siguiente lógicamente es una venta,pero para eso me tiene que vender 2 contratos ¿como se pone eso en el sistema?
si es un sistema continuo todas las opes las hará con 2 contratos, para girarse. Ten cuidado cuando lo conectes por primera vez: si el sistema está vendido y la primera operación es una compra, comprará 2 contratos porque supondrá que estás vendido, aunque realmente no lo estés. Quiero decir que la primera ope, si estás fuera de mercado, deberías hacerla tú a mano para sólo entrar con un contrato.
En cualquier caso te recomiendo que la primera vez que conectes el sistema sea con el servidor de prueba, para que vayas viendo cómo funciona.
En cualquier caso te recomiendo que la primera vez que conectes el sistema sea con el servidor de prueba, para que vayas viendo cómo funciona.
Si te ha gustado este hilo del Foro, ¡compártelo en redes!