ROBOCO escribió:
Lo de que el "muchos pocos" es mejor para el Money Management es evidente. La composición del retorno lleva el número de trades en el exponente...por lo que vosotros mismos.
Cuidadín, que ir en el exponente no significa aumento exponencial.
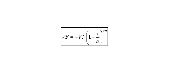
En este caso, siguiendo un desarrollo de Cagigas, y partiendo de la expresión del interés compuesto:
donde
VP Valor Presente del capital.
VF Valor Futuro del capital.
PMT Pago (salidas de capital). Las aportaciones al plan se introducen como cantidades negativas, y el dinero recibido, como positivas.
n nº de periodos compuestos.
i tasa de interés periódica.
Cuando los periodos de reinversión no coinciden con los de generación del interés, hay que modificar la ec. del Interés Compuesto con otros i y n, y PMT = 0. Si además queremos componer q veces el retorno obtenido en cada periodo n. El valor final del capital es:
Si se lleva q al límite:
Esto da esta curva del valor final en función del nº de veces que se compone (de la cantidad de muchos pocos):
Lo cual quiere decir que llega un momento que aunque sigamos subiendo de cantidad de muchos, el beneficio practicamente no sube, y ya no tiene sentido. Además, las comisiones y deslizamientos empeoran los resultados bastante antes.
Es decir; los muchos pocos tienen un límite a partir del cual, es peor. Y por tanto, no conviene, y menos a nosotros, plantearse más que como un ejercicio de conocimiento, si es mejor una u otra opción de este asunto, porque lo mejor es que se nos ocurran sistemas con mentalidad abierta, bien de un tipo o de otro, se les pasa la trituradora de los ratios CON comisiones y deslizamientos, y si sale vivo,... ¡al lío!

, y si no, al archivo (como tantos

).
ROBOCO escribió:
Lo de que alta probabilidad de acierto es mejor para el Money Management...es falso a medias. Hay otro factor mucho más importante que es la "máxima pérdida por operación" (es decir la distancia al Stop Loss). Al final se convierte en un tema de equilibrio entre ambas, pero influye más la máxima pérdida por operación. Y como una reducida pérdida máxima se consigue, generalmente, sacrificando "porcentaje de acierto", pues vosotros mismos.
mmm,, cuidadín también, que hay algo en la fiabilidad que la hace muy deseable para "poder irte de vacaciones" (también a partir de las enseñanzas de Cagigas):
La probabilidad de ruina disminuye MUY deprisa al aumentar la fiabilidad:
Fijaros en los escalonazos según aumenta la fiabilidad.
En este momento no voy a intentar una comparación matemática entre la pérdida máxima de las operaciones y la fiabilidad, entre otras cosas porque estoy casi extenuado de buscar la forma de que aparecieran las imágenes como imágenes en este mensaje, pero valga por lo menos la advertencia matemática comentada.
ROBOCO escribió:
Lo de que "muchos pocos" implica una alta probabilidad de acierto es falso. Cualquier VBO intradiario de bajo Time frame tiene una probabilidad de acierto de menos del 50%. Es la distancia al Stop Loss o al cierre de la posición lo que te da la probabilidad de acierto.
Yo tengo mucha menos experiencia que el maestro, pero sin decir que "implica", sí puedo decir que me han salido sistemas de muchos pocos con alta fiabilidad ganadores (1), mucho más facilmente que tendenciales.
(1): ganadores sin comisiones y deslizs. Si metemos estos factores, los que he puesto en real han sido tendenciales y de reversión a la media, pero en ningún caso eran de muchas operaciones (de "muchos pocos" ). Las comisiones y deslizamientos han sido y son factor fundamental para la práctica, pero sin ellos, diría que sistemas de "muchos pocos" con alta probabilidad de acierto (fiabilidad), no son muy muy difíciles de conseguir.